Radiações Eletromagnéticas
A dedução matemática de natureza da luz foi feita por James Clerk Maxwell, em 1864. Ele demonstrou que a luz é produzida por cargas elétricas que estão se movimentando, portanto dizemos que ela possui características de uma onda eletromagnética que transporta energia sem transportar matéria e produz fenômenos eletromagnéticos.
Todo fenômeno eletromagnético está associado a três grandezas: o comprimento de onda (λ), que é medido em metros ou seus múltiplos e submúltiplos, a freqüência (f), que é medida hertz (Hz) e a velocidade (v) que é medida em m/s.
No caso das radiações eletromagnéticas (a luz visível, as ondas de rádio, raios-X, ultravioleta, infravermelho, raios gama, etc.) o valor da velocidade é constante e é representado pela letra “c” c=300.000.000 m/s).
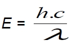
A freqüência de uma onda eletromagnética está diretamente relacionada com a energia da onda. A equação que relaciona a energia com o comprimento de onda é a equação de Planck:

Onde: c é a velocidade da luz, E é a energia (joule), h é a constante de Planck (6.624 x 10-34 joule x segundo) e λ é o comprimento de onda. Max Planck (1858 – 1947) – Físico alemão, autor da teoria dos quanta, contribuiu muito para o estudo da física e, em especial, para o entendimento dos fenômenos eletromagnéticos.
Raios gama (<10-10m): produzidos pelo decaimento de substâncias radioativas;
Raios X (10-11 m – 10-8 m): originados pela desaceleração repentina de elétrons de alta energia, ao colidirem com núcleos dos átomos;
Radiação ultravioleta (10-8 m – 4 x 10-7 m): para fins práticos, é produzida por lâmpadas de vapor de mercúrio;
Luz visível (380 – 750 nm; 1 nm = 10-9 m) única faixa capaz de ser percebida pelo olho humano, é gerada por objetos quentes como o Sol ou filamentos de lâmpadas incandescentes, quando a temperatura é alta o suficiente para excitar os elétrons de um átomo;
Radiação infravermelha (0,75 nm – 1 nm): também conhecida como a radiação de calor ou radiação térmica, é produzida pela vibração de moléculas nos materiais;
Microondas (1nm – 30cm): geradas pelos elétrons defletidos por um campo magnético, como acontece nos magnétrons de forno de microondas;
Ondas de rádio (>30cm): produzidas por circuitos de oscilação de cargas elétricas como os de emissoras de TV e rádio AM e FM.

A seguir, alguns tipos de radiação eletromagnética:
Radiação infravermelha
É um tipo de radiação eletromagnética não ionizante, que, quando interage com a matéria produz vibrações nas moléculas provocando o aumento da temperatura do sistema. A radiação infravermelha é responsável pela transmissão de calor de um corpo para o outro, sem a necessidade de contato entre eles. Temos como exemplo: os raios solares, um ferro de passar roupas, aquecido, etc.
Radiação Ultravioleta
A radiação ultravioleta é um tipo de radiação eletromagnética. A principal fonte da radiação ultravioleta recebida pela Terra são os raios solares. A camada de ozônio protege a Terra dos raios ultravioletas provenientes do Sol, pois as moléculas de ozônio têm capacidade de absorverem energia neste comprimento de onda. O aumento da incidência de cataratas (problema de visão), também está associado à exposição à radiação ultravioleta. A distribuição da dose de radiação recebida pelas pessoas aumenta com a latitude e altitude.
A média global de dose de radiação devido à radiação cósmica ao nível do mar é da ordem de 0,26mSv/ano.
Radiação de Microondas
O forno de microondas, o radar para detectar velocidade, a TV a cabo, a internet por cabo axial e o telefone celular são exemplos de fontes de radiação de microondas em nosso dia-a-dia. O forno de microondas usa um gerador de microondas do tipo magnetron para produzir microondas em uma freqüência de aproximadamente 2,45GHz, e é regulado para atuar somente sobre moléculas de água (molécula polar) provocando vibrações. Isso é feito para que só os alimentos possam ser cozidos. Quando colocamos um copo com água no interior de um forno de microondas, somente a água é aquecida, a água transfere energia para o copo por condução.
No forno de microondas existe um dispositivo de segurança para impedir que a radiação escape para o meio externo, não havendo esse dispositivo, uma pessoa que estivesse próxima poderia ser cozida, literalmente de dentro para fora.
Raios X
Com a descoberta dos Raios X pelo físico Wilhelm Conrad Roentgen, em 8 de Dezembro de 1901, deu-se início aos estudos sobre emissões de partículas, provenientes de corpos radiativos, observando suas propriedades e interpretando os resultados. Naquela época, destacaram-se dois cientistas: Pierre e Marie Curie, pela descoberta do polônio e do radium.
Deve-se a eles a criação do termo: “radioatividade”. No começo do século XX, mais precisamente em 1903, Rutherford, após profundos estudos, formulou hipóteses sobre as emissões radioativas. Convém frisar, que naquela época ainda não se conhecia o átomo e os núcleos atômicos e, coube a esse cientista, a formulação de um modelo atômico que é até hoje estudado nas escolas.
Os Raios X são radiações da mesma natureza da radiação gama (outro tipo de ondas eletromagnéticas), com características idênticas. Só se diferem da radiação gama pela origem, ou seja, os raios-X não saem do núcleo do átomo e, portanto, não são energia nuclear e sim, energia atômica. Toda energia nuclear é atômica porque o núcleo pertence ao átomo, mas nem toda energia nuclear é atômica. Os raios X são emitidos quando elétrons acelerados por alta voltagem são lançados contra átomos e sofrem frenagem, perdendo energia.
Partículas e Ondas
As radiações nucleares podem ser de dois tipos. As partículas possuem massa, carga elétrica e velocidade que dependem do valor de sua energia. Já as ondas eletromagnéticas, não possuem massa e se propagam com velocidade de 300.000km/s, para qualquer valor de energia que ele possua e são da mesma natureza da luz e das ondas de transmissão de rádio e TV.
A identificação desses tipos de irradiação foi feita utilizando-se uma porção de material radioativo, com o feixe de radiações passando por entre duas placas polarizadas com um forte campo elétrico.
As partículas “Alfa” são constituídas de dois nêutrons e dois prótons caracterizando um núcleo atômico de Hélio. Devido ao seu alto peso e tamanho, elas possuem pouca penetração e são facilmente absorvidas por poucos centímetros de ar.

As partículas “Beta” são constituídas por elétrons que são emitidos pelo núcleo de um átomo. Essas partículas possuem velocidades próximas à velocidade da luz e carga elétrica negativa. O poder de penetração da radiação “Beta” é bastante superior ao das radiações “Alfa”, podendo ser absorvidas por alguns centímetros de acrílico ou plástico, na sua grande maioria.
As radiações ”X e Gama”, ao contrário das radiações a e b que têm características corpusculares, são de natureza ondulatória. Com isso, não possuem nem carga e nem massa. Isso lhes dá um grande poder de penetração nos materiais.

Devido às suas características diferentes, é possível separar os três tipos de radiação através da aplicação de um campo elétrico ou magnético. Por possuírem cargas com sinais diferentes, as radiações alfa e beta serão desviadas por esses campos para lados opostos.
Já os raios X e gama, por não possuírem carga elétrica, não serão desviados.
Radiação e Radioatividade
Define-se “Radioatividade” como sendo a emissão espontânea de radiação corpuscular e eletromagnética por um núcleo atômico que se encontra num estado excitado de energia, que podem ser do tipo alfa (α), beta (β) ou gama (γ). As radiações eletromagnéticas que possuem energia inferior a 12 eV são chamadas de radiações não-ionizantes, as quais podemos visualizar através da escala de energia mostrada na figura abaixo.

Esta escala inicia-se na faixa de radiação ultravioleta, passando pela luz visível e infravermelha de aparelhos como: microondas, telefonia celular, rádios AM e FM, e termina na faixa de freqüências extremamente baixas (ELF) da rede elétrica (comprimento de onda l = 5.000 km). As radiações não-ionizantes compreendem valores de l superiores de a 10-7m (100nm), ou seja, valores de dimensão comparável ao tamanho de um vírus. No domínio da freqüência, de acordo com a figura 5, tais radiações têm valores menores que a freqüência de 3×1015 Hz, ou seja, valores correspondentes ao início do espectro dos raios ultravioletas. A faixa do espectro eletromagnético, na qual os sistemas móveis modernos de comunicação operam, compreende freqüências entre 108Hz e 1010Hz. Isso corresponde a um valor médio de 1GHz (109Hz) que faz parte da faixa das freqüências ultra-altas ou UHF (300 MHz a 3 GHz), também denominadas ondas decimétricas, por seu comprimento de onda variar de 10 a 1 dm.
O SOL: Emite em Múltplos Comprimentos de Ondas
O Sol emite radiação ao longo de todo o espectro eletromagnético, desde os energéticos raios gama e raios X, até ondas quilométricas de rádio, passando pelo ultravioleta, visível, infravermelho e microondas. A maior parte da intensidade concentra-se no visível e não é coincidência o fato de nossos olhos serem adaptados para enxergarem nesta faixa do espectro.
Especificamente, a intensidade máxima encontrada nas emissões do espectro solar está em um comprimento de onda de 500 nm. Para detectar a radiação solar nos vários comprimentos de onda, dois fatores devem ser levados em consideração. O primeiro é tecnológico e depende de sensores adaptados ao comprimento de onda específico que se deseja analisar. O segundo fator diz respeito à atmosfera terrestre e como esta irá absorver, total ou parcialmente, diferentes faixas do espectro da radiação solar.

Camadas internas do Sol
Energia Solar Recebida
A quantidade total de energia recebida pela Terra é determinada pela projeção da sua superfície sobre um plano perpendicular a propagação da radiação. Como o planeta gira em torno do seu eixo, esta energia é distribuída, embora de forma desigual, sobre toda a sua superfície. Resulta que a radiação solar média recebida sobre a Terra, designada por insolação, é 342 W/m², valor correspondente a ¼ da constante solar. O valor real recebido na superfície do planeta depende, além dos fatores astronômicos ditados pela latitude e pela época do ano, do estado de transparência da atmosfera sobre o lugar, em particular, da nebulosidade.
O equilíbrio energético no planeta
Para manter o equilíbrio energético, a Terra deve restituir ao espaço o mesmo tanto de energia que recebe. A troca de energia entre a Terra e o espaço reduz-se substancialmente a dois componentes. Por um lado, a energia que provém do Sol em virtude de sua temperatura, e por outro, a energia que a Terra difunde no espaço, também associada à temperatura dos corpos irradiantes. A contribuição dos outros corpos celestes é totalmente irrelevante no equilíbrio energético terrestre. É também desprezível o calor proveniente do interior da Terra. O calor interno disperso é, de fato, apenas 50 cal/cm² por ano, menos de 1/5000 da energia proveniente do Sol.
Do total da radiação solar incidente nos limites da atmosfera, chega ao solo cerca de 4%, aproximadamente a metade como radiação direta e a outra metade como radiação espalhada pela atmosfera e pelas nuvens. Naturalmente, não se deve entender que toda esta energia esteja disponível para o homem. Em linhas gerais, pode-se estimar que pelo menos 30% da energia solar que atinge a Terra seja utilizada para a evaporação das águas, ao passo que uma modestíssima percentagem (entre cerca de 0,3 e 1,5%) é utilizada para síntese clorofiliana. Cerca de 0,3% é utilizada para a produção de ventos e das correntes marítimas.
A energia restante é emitida pela Terra sob a forma de radiações térmicas, ou seja, de elevado comprimento de onda.

Camadas internas da Terra
Referências
CNEN


